معادلات جداپذیر شدنی : دسته پنجم
معادلات دیفرانسیل جداپذیر شدنی - دسته پنجم: آخرين دسته معادلاتي که جداپذير شدني هستند را معرفي مي کنيم. اين معادلات شکل کلي معادلات
، به صورت زير هستند :

که
. در اين حالت نيز تغيير متغير u = a x + b y ، معادله را به معادله ي جداپذير تبديل مي کند.
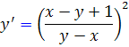
مثال 8.2: جواب عمومي معادله ي
را بيابيد.
حل: در اين معادله
انتخاب شده است و دقت داريم که
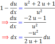
. بنابراين معادله به صورت
است و با تغيير متغير u = x – y خواهيم داشت:

همچنين

پس

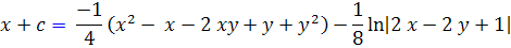
که يک معادله جداپذير استاندارد است و جواب عمومي آن به صورت زير است:

پس جواب عمومي معادله ي اصلي با قرار دادن u = x – y به صورت زير خواهد بود:

.
- بازدید: 5880