معادلات یک دسته منحنی
به نام خدا
الـهم صل علي محـمد و آل مـحمد
گفتيم که جواب عمومي ِ يک معادله ديفرانسيل مرتبه ي n ام ، تابعي به صورت
خواهد بود. اين تابع به ازاي هر مقداري که به ثابت ها نسبت داده شود، يک منحني را مشخص مي کند. بنابراين معادله ي يک دسته يا يک خانواده منحني است.
تاکنون در مورد جواب ِ يک معادله ديفرانسيل بحث مي کرديم و درفصل هاي آينده نيز روش هايي براي يافتن جواب هاي يک معادله ديفرانسيل بيان خواهيم کرد. اما اکنون مي خواهيم عمل عکس انجام دهيم. يعني مي خواهيم معادله ديفرانسيلي را بيابيم که جواب عمومي آن به صورت
باشد. به اين عمل، يافتن معادله ديفرانسيل ِ يک خانواده منحني مي گويند و معادله ديفرانسيل به دست آمده را معادله ديفرانسيل اين خانواده مي گوييم.
پس فرض کنيم تابع
در دست باشد. چون اين تابع داراي n ثابت است، n بار از آن مشتق مي گيريم. بنابراين به n+1 معادله و n مجهول مي رسيم . ( ثابت ها نقش مجهول را دارند.) با حذف ثابت ها از اين معادلات، معادله ديفرانسيلي بر حسب y و مشتقاتش به دست مي آيد که همان معادله ي مورد نظر است.
به مثال هاي زير توجه کنيد :
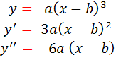
مثال 9: معادله ديفرانسيل دسته منحني
را بيابيد.
حل : چون معادله شامل دو ثابت است پس دو بار از آن مشتق مي گيريم. داريم :

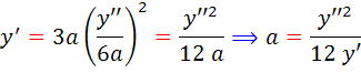
مقدار x-b را از معادله ي ''y به دست مي آوريم :
اين مقدار را در معادله ي 'y قرار مي دهيم و مقدار a را به دست مي آوريم :

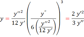
اکنون مقادير a و x-b را در معادله ي y قرار مي دهيم :


که اين معادله ي دسته منحني مي باشد.
مثال 10: معادله ديفرانسيل دسته منحني
را بيابيد :
حل : باز هم چون معادله داراي دو ثابت است، دو بار مشتق مي گيريم :

با نگاهي به معادله ي y و ''y در مي يابيم که y''=-y . پس y + y'' = 0 معادله ديفرانسيل اين دسته منحني است.
- بازدید: 29156