پایان ترم ریاضی عمومی 1،صنعتی امیرکبیر، 07-04-89
به نام خدا
الهم صل علی محمد و آل محمد
نام آزمون : پايان ترم ریاضی عمومی 1
تاريخ برگزاري :07-04-1389
دانشگاه: صنعتی امیرکبیر (پلی تکنیک)
1. طول قوس منحنی تابع
=
از نقطه ای به طول x=0 تا نقطه ای به طول
را محاسبه کنید. (8 نمره)
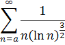
2. در همگرایی یا واگرایی سری و انتگرال نامتعارف زیر بحث کنید. (8 نمره) 
ب: 
3. نیم دایره شکل زیر را حول محور y ها دوران می دهیم؛ حجم جسم حاصل از دوران را تعیین کنید. (8 نمره) 
4. تابع
به صورت زیر تعریف شده است:
= ![]()
الف: دامنه تابع f را تعیین کنید. (6 نمره)
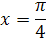
ب: مقدار
را محاسبه کنید. (4 نمره)
5. الف: یک سری توانی برای تابع
=
حول عدد صفر به دست آورید. (بسط مک لورن تابع
را بنویسید). (5 نمره)
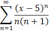
ب: مجموع رو به رو را محاسبه کنید. (3 نمره)
![]()
6. فرض کنید f دوبار مشتقپذیر بوده و در رابطه زیر صدق کند. در این صورت مقدار
را حساب کنید. (8 نمره)
، 
نمونه سوال امتحانی, 1389, ریاضی عمومی 1, نمونه سوالات دانشگاهی, نمونه سوالات دانشگاه صنعتی امیرکبیر, دانشگاه امیرکبیر, حجم حاصل از دوران, انتگرال معین, همگرایی و واگرایی سری ها
- بازدید: 12708