پایان ترم ریاضی عمومی 1،امام رضا، 14-10-94
به نام خدا
الهم صل علی محمد و آل محمد
نام آزمون : پايان ترم ریاضی عمومی 1
تاريخ برگزاري :14-10-1394
نیمسال اول 95-1394
دانشگاه: بین المللی امام رضا (ع) مشهد
با تشکر از استاد کفایی که این نمونه سوال را به سایت ریاضیات ایران ارسال کردهاند.
1. حاصل انتگرالهای زیر را محاسبه کنید. 
الف: 
ب: 
ج: 
د: 
ه: 
2. مساحت محدود به منحنی های
و
و
و محور y ها را بیابید. 
3. حاصل حدهای زیر را به دست آورید.
الف: 
ب: 
4. همگرایی یا واگرایی سری زیر را بررسی کنید. 

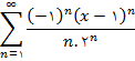
5. شعاع و بازه همگرایی سری توانی زیر را تعیین کنید.

6. با کمک سری
بسط مک لورن تابع
=
را به دست آورید.
، 
نمونه سوال امتحانی, 1394, ریاضی عمومی 1, نمونه سوالات دانشگاهی, نمونه سوالات دانشگاه بین المللی امام رضا مشهد, انتگرال نامعین, محاسبه مساحت محدود بین نمودارها, همگرایی و واگرایی سری ها
- بازدید: 6467