تشخیص معادله دیفرانسیل کامل
به نام خدا
الـهم صل علی مـحمد و آل محـمد
در اين درس ابتدا در قضيه ي 1، يک شرط لازم و کافي براي تشخيص کامل بودن ِ يک معادله ديفرانسيل را بيان کرده و اثبات مي کنيم و سپس در مثالي، چگونگي استفاده از اين قضيه را نشان مي دهيم :
قضيه 1.2: فرض کنيد در معادله ي
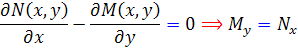
توابع M و N توابعي پيوسته باشند. در اين صورت اين معادله کامل است اگر و تنها اگر

که در آن
.
اثبات: ابتدا فرض کنيم معادله ي
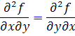
کامل باشد، پس تابعي مانند f وجود دارد به طوري که شرايط برقرارند. از حساب ديفرانسيل و انتگرال به ياد داريم که چون M و N پيوسته اند، مشتقات جزئي مرتبه دوم زير با هم برابرند :

بنابراين

يا به عبارت ساده تر
. پس اگر معادله
کامل باشد، تساوي
برقرار است.
اکنون فرض کنيم تساوي
برقرار باشد، نشان مي دهيم معادله ي
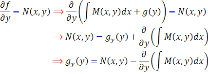
کامل است. يعني بايد تابع ثابت f را بيابيم. اين تابع بايد در تساوي هاي
صدق کند. از نخستين ِ تساوي ِ آن داريم :

با اتگرال گيري نسبت به x ، تابع f محاسبه مي شود :

که
، ثابت انتگرال گيري ، تابعي از y است. اکنون تساوي دوم از تساوي هاي
را بررسي مي کنيم . پس :

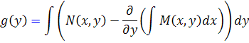
سپس با انتگرال گيري از
نسبت به y ، تابع g به صورت زير خواهد بود:

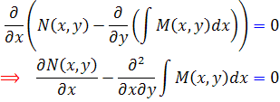
که تابع زير انتگرال، بايد تابعي از y باشد، يعني بايد مشتق آن نسبت به x صفر شود. پس :

اما
پس بايد داشته باشيم:

اما اين رابطه، فرض ما بود و از ابتدا درست فرض کرديم. پس تابع f که در رابطه ي
بيان شد، جواب عمومي معادله است.
ضمن اثبات قضيه ي 1 ، يک روش براي حل معادله ديفرانسيل کامل بيان شد کهبه طور خلاصه اين گونه است:
اگر معادله ي
کامل باشد، از
نسبت به x انتگرال مي گيريم و ثابت انتگرال گيري را تابعي بر حسب y مانند
در نظر مي گيريم. سپس از معادله ي به دست آمده، بر حسب y مشتق مي گيريم و آن را مساوي با
قرار مي دهيم تا تابع
به دست آيد.
همچنين مي توانيم از تابع
نسبت به y انتگرال بگيريم وثابت انتگرال گيري را تابعي بر حسب x مانند
در نظر بگيريم. سپس از معادله ي به دست آمده، برحسب x مشتق بگيريم و آن را مساوي با
قرار دهيم تا
به دست آيد.
مثال 12.2: ابتدا نشان دهيد معادله ديفرانسيل
کامل است سپس جواب عمومي آن را محاسبه کنيد .
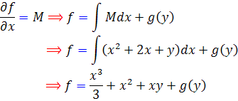
حل: در اين مثال
و
. پس معادله ي داده شده کامل است. براي به دست آوردن جواب عمومي از روشي که در اثبات قضيه ي 1 معرفي شد، استفادهمي کنيم :

و
را به ترتيب زير به دست مي آوريم . مي دانيم
بنابراين با قرار دادن مقادير N و
داريم :

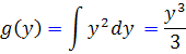
پس
. بنابراين
پس تابع f به صورت زير خواهد بود :

که اين جواب عمومي معادله ي داده شده است.
[/tab_item] [/tabs]- بازدید: 29522